We know that Force is equal to mass times acceleration.

A home has physical mass, structural strength, and load-bearing capacity.
These properties give it force capacity in the physical sense. However, a home does not move and does not perform continuous work, so its velocity is effectively zero.
As a result, its power output, in the strict physics sense, is essentially zero.

When applied conceptually to housing, the mass of a home represents its physical size or usable space, while acceleration represents how efficiently that space performs through materials, structure, and energy efficiency.

If neither the size of the home nor its efficiency changes, then the physical system itself has not improved.

From this perspective, a home with constant space and constant efficiency should not experience real value growth.

If the physical mass and operational efficiency of a home remain unchanged, Power Efficiency Theory contends its intrinsic value should remain constant or gradually decay over time due to wear and entropy.

Price appreciation is only physically justified when real work is done on the system, such as adding usable space or improving materials and efficiency.

The work energy principle serves as the philosophical and physical guardrail for this framework. In physics, energy only changes when work is performed, and the same logic applies here.

When prices rise without corresponding gains in capacity or efficiency, the relationship becomes inverted and price moves ahead of true value.
This gap signals non physical forces at play and highlights the difference between market price and “intrinsic” or “real” value.
You can also view Power Efficiency Theory through the lens of Einstein’s energy equation, which states that energy is a function of mass.
A home clearly has mass, weight, and volume, but it has no meaningful speed in the physical sense.
Over time, a home tends to move in the opposite direction, gradually losing material integrity through wear, decay, and obsolescence.

Without new energy being applied in the form of renovations, upgrades, or added structure, the system is not gaining energy but dissipating it.

From this perspective, a home that is not improving is effectively decelerating over time, meaning its intrinsic energy state is flat or declining.
Any sustained increase in price without added mass or improved efficiency therefore cannot be attributed to real energy growth, but instead reflects external or non physical forces acting on valuation.
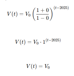
The compounding Power Efficiency Model equation operates as the practical valuation engine. It translates measurable changes in capacity and efficiency into a time dependent value signal and allows price to lag or converge naturally over time.

Rather than relying on multiple equations to describe the same phenomenon, Power Efficiency Theory standardizes on a single operational model while foundational physics explains why that model reflects real value creation.
In summary, Power Efficiency Theory contends that a home’s price should only rise when its physical capacity or efficiency improves.
Without increases in usable space or structural and energy efficiency, sustained price appreciation reflects financial or narrative forces rather than true physical value creation.
BitcoinVersus.Tech Editor’s Note:
We volunteer daily to ensure the credibility of the information on this platform is Verifiably True. I
If you would like to support to help further secure the integrity of our research initiatives, please donate here: 3C9o19EH5HSiwEPyCTmEKzxhNCbo2X6TTb

Leave a comment